Home
About Us
Paryavaran Samvaad
Samvaad Yatra
Nawada
Samvaad Yatra
Prayavaran Samvaad Yatra
Participatory Rural Appraisal(PRA) Report
Sasaram
Sasaram - Interim Paryavaran Samvaad Report
Prayavaran Samvaad Yatra
Kaimur
Participatory Rural Appraisal(PRA) Report
Nadee Chetana
Yatra
River Study Report
Training
Program
Ongoing Program
Progress Report
Gallery
Images
News
Activities
Blog
Contact us
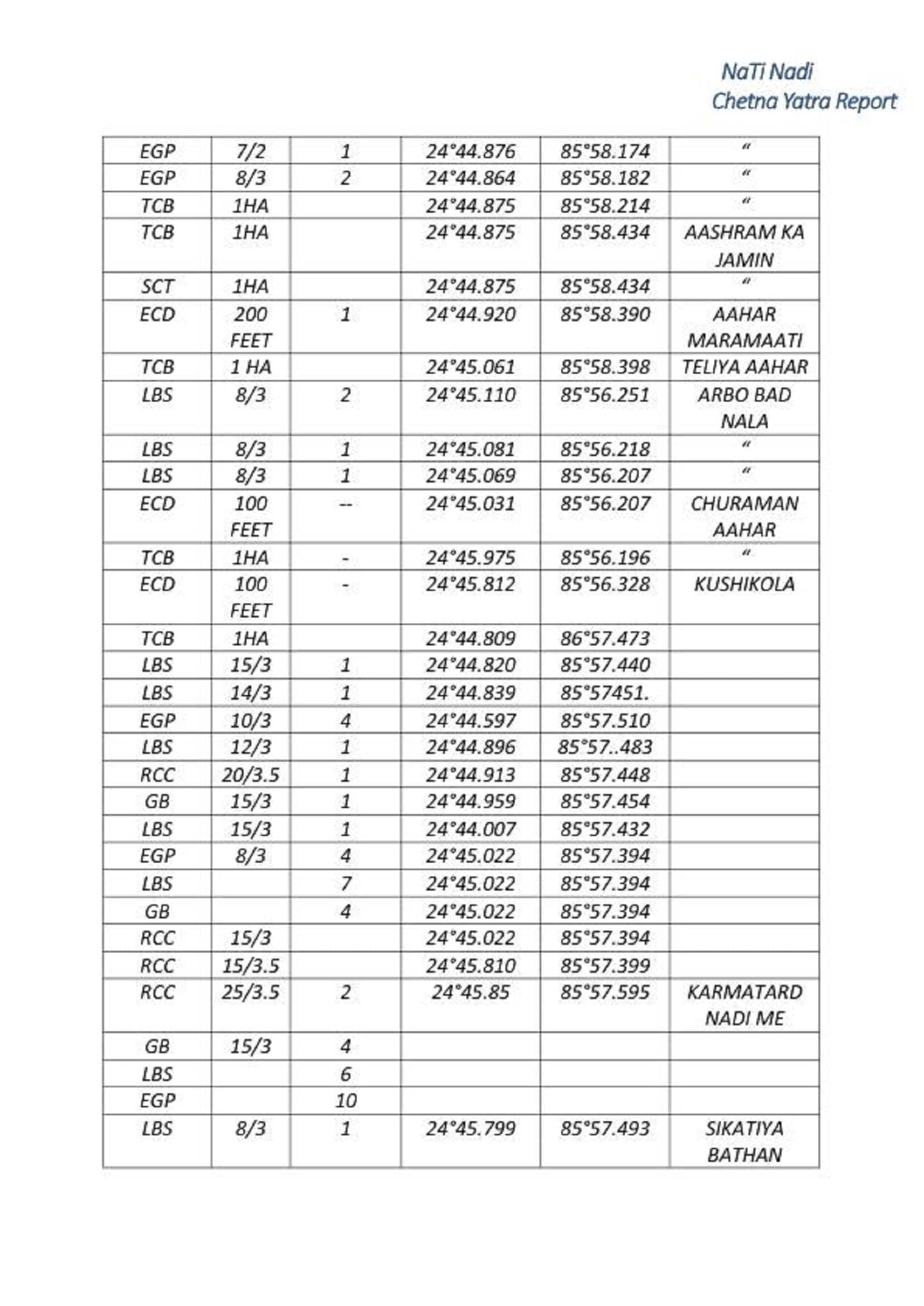
NaTi Nadi Chetna Yatra Report
Home
NaTi Nadi Chetna Yatra Report